Lec 19 - Subspaces and Spanning in a Vector Space
Wednesday, February 15, 2012
9:27 AM
![]()
Subspaces
![]()
This also happens in other vector spaces.
Definition
![]()
![]()
Theorem:
Subspace Test
![]()
![]()
Eg
![]()

![]()
![]()
![]()
![]()
Eg
![]()
![]()
![]()
![]()
![]()
![]()
![]()
![]()
![]()
Eg
![]()
![]()
![]()
![]()
![]()
Spanning
Definition
![]()
![]()
Definition
![]()
Eg
![]()
![]()
![]()
![]()
![]()
We get the following system of linear equations:
![]()
![]()
![]()
![]()
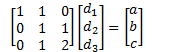
Put in a matrix: (Drop the 3rd equation)

![]()

![]()
![]()
![]()
Eg
![]()
![]()
![]()
![]()
We get the following system of linear equations:
![]()
![]()
![]()
![]()

The system is inconsistent.
![]()
Theorem:
![]()
Proof: (by the subspace test)
Created by Tim Pei with Microsoft OneNote 2010
One place for all your notes and information